青云AI算力云上线 Qwen 3.5,助力 AI 应用更快更低成本落地  第1张

青云科技旗下AI算力云――基石智算CoresHub 大模型服务正式上线 Qwen 3.5!Qwen 3.5 以开源普惠为核心,为开发者与企业提供便捷的 AI 应用落地支持,适配各类日常及业务场景。

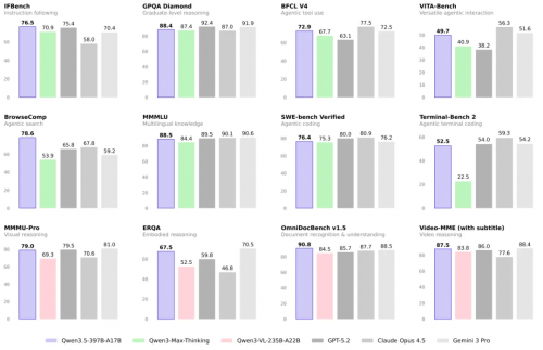
作为千问系列的“升级款”,Qwen 3.5 架构优化,显存占用低、推理效率高;具备原生多模态能力,适配多种视觉相关场景;采用 Apache 2.0 宽松开源协议,支持商用与二次开发,适配端云全场景。

青云AI算力云上线 Qwen 3.5,助力 AI 应用更快更低成本落地  第2张

依托基石智算成熟的一站式智算服务能力,用户现可以快速调用 Qwen3.5-397B-A17B。

青云AI算力云上线 Qwen 3.5,助力 AI 应用更快更低成本落地  第3张

【免责声明】【广告】本文仅代表作者本人观点,与和讯网无关。和讯网站对文中陈述、观点判断保持中立,不对所包含内容的准确性、可靠性或完整性提供任何明示或暗示的保证。请读者仅作参考,并请自行承担全部责任。邮箱: